原料药
抗生素
解热止痛药
甾体激素
维生素
其他药物
壳聚糖系列
壳聚糖
水溶性壳聚糖
氨基葡萄糖盐酸盐系列
植物提取物
 
 
 
当前位置:首页>>产品展示  
 

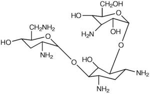
妥布霉素

CAS:32986-56-4

结构式:

分子式:C18H37N5O9

分子量:467.2

性 状:白色结晶性粉末。

规 格:符合 BP/EP/USP/JP

用 途:氨基糖苷类抗生素。

包 装:5bou/铝听/纸箱。

* 硫酸妥布霉素 CAS NO.:49842-07-1

 

首 页 |  公司简介  |  产品展示  |  咨 询  |  联系我们 |  English
上海宇维生物科技发展有限公司 版权所有(C)2008 网络支持 中国化工网 全球化工网 生意宝 著作权声明