原料药
抗生素
解热止痛药
甾体激素
维生素
其他药物
壳聚糖系列
壳聚糖
水溶性壳聚糖
氨基葡萄糖盐酸盐系列
植物提取物
 
 
 
当前位置:首页>>产品展示  
 

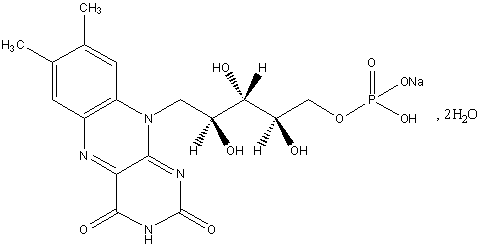
核黄素磷酸钠

CAS:6184-17-4

结构式:

分子式:C17H20N4NaO9P·2H2O

分子量:514.38

性 状:淡黄色结晶性粉末。

规 格:符合 BP2003/USP28

用 途:用于防治口角炎、唇炎、舌炎、眼结膜炎及阴囊炎等核黄素(维生素 B2)缺乏症。

包 装:10 千克/桶。

 

首 页 |  公司简介  |  产品展示  |  咨 询  |  联系我们 |  English
上海宇维生物科技发展有限公司 版权所有(C)2008 网络支持 中国化工网 全球化工网 生意宝 著作权声明